每个省份的美术类艺考生录取分数都不同,根据教育部有关规定,美术类艺考生联考的最低合格要求为3科总成绩不低于180分,即180分(含)以上考生才有资格参加省外院校美术类本科专业校考。文化课分数线各个省份都不同,但大部分都在三百分以上。
2024美术艺考多少分能上本科
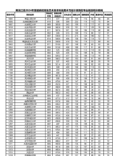
2024美术艺考本科录取分数线预测在270-400之间。但是具体分数还是要根据每年的情况而定。
美术统考成绩一般本科180分,且其中2门科目各不低于60分,专科120分;美术统考总满分为300分,各科均为100分
每个大学的录取分数不同,文化课与艺考专业课的分数线不同,文化课与艺考专业课的所占比值也有所不同。所以需要结合最近的一批成绩进行预估,最好高于上一年你所想报考学校的率取分数线15-20分,会比较保险。
美术艺考大多数省份一本的分数线在450分左右,比如中央美术学院,文化分通常需要在470以上左右。二本的分数线在265-400之间。但是具体分数还是要根据每年的情况而定。
美术艺考拿高分的方法
美术艺考高分技巧一、构图新颖,切勿千篇一律。
取得高分的要点就是要新颖,新颖不仅表现在要让整幅画构图完整饱满,而且一定要有特有的风格,让阅卷老师在你的画中感受到别具一格的风格。此处就要讲究绘画中常见的观察法和构图思路,它的学习不能短时间发挥效果,所以要坚持。
美术艺考高分技巧二、把握作品的画面效果。
画面的效果一定要把握,特别是在绘画水彩的时候,其色彩效果切勿主次不分、颜色过分鲜艳,整幅画最终的效果切勿脏、乱。这里就要求同学们在绘画的时候一定要从整体入手,处理好色彩纯度之间的关系还要注意冷暖色调的对比。
美术艺考高分技巧三、色调要协调,把握好衬布色彩。
色调切不可各秀主场,单个绘画物体会导致整幅画面花花绿绿俗不可耐,这就要求同学们对于衬布色彩的把握,处理好物体固有色与环境色之间的关系。


