2025贵阳职业技术学院王牌专业有旅游管理、铁道机车运用与维护、计算机网络技术等。这些专业在贵阳职业技术学院中具有较高的教学质量和声誉,并且与当地的产业发展需求紧密相连。贵阳职业技术学院是一所位于中国贵州省贵阳市的高等职业院校。
2025贵阳职业技术学院王牌专业名单
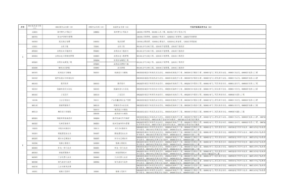
贵阳职业技术学院是一所位于中国贵州省贵阳市的高等职业院校,该学院的一些王牌专业包括:
旅游管理:这是一个国家级重点专业,旨在培养具备旅游管理知识和技能的专业人才。
机电一体化技术:这是另一个国家级重点专业,专注于机电一体化技术的教学和研究。
铁道机车运用与维护:这是一个省级特色骨干专业群,旨在培养铁道机车运用与维护方面的专业人才。
计算机网络技术:这是一个省级骨干专业,专注于计算机网络技术的教学和研究。
城市轨道交通运营管理:这是一个省级骨干专业,旨在培养城市轨道交通运营管理方面的专业人才。
这些专业在贵阳职业技术学院中具有较高的教学质量和声誉,并且与当地的产业发展需求紧密相连。学院通过这些专业培养了大量的高素质技术技能人才,为地方经济发展和产业转型升级提供了有力的人才支持。
2025贵阳职业技术学院什么专业好
1.软件技术专业
培养具有一定计算机软件专业理论知识、掌握至少一种主流软件开发平台、具有较强编程能力的高级实用型专业人才;可在IT企业、政府机关、企事业单位等从事软件开发的需求调查、编码、测试、维护、营销售后服务及软件生产管理工作。
2.飞机机电设备维修专业
培养目标:本专业坚持社会主义办学方向,培养拥护党的领导、拥护党的基本路线和方针政策,培养德、智、体、美、劳全面发展的社会主义建设者和接班人,身心健康,具有一定的科学文化水平,良好的人文素养、职业道德和创新意识,精益求精的工匠精神,较强的就业能力和可持续发展能力。
3.歌舞表演专业
培养目标:培养熟练掌握系统的舞蹈相关理论知识,具备舞蹈表演、舞蹈编导、舞台剧表演技能,具备较强的沟通能力、表演能力,能参与舞蹈表演与文化交流,胜任专业文艺团体、艺术院校、培训机构以及企事业单位等岗位工作的高素质技能型人才。


