专科大学一般在200分到300分左右录取,不过各省专科线不相同。虽然过了专科线就可以上大学,但多数都是民办专科,想要上公办专科的话,还需要超过专科线5-10分左右。小编为大家整理了历年专科录取分数线,大家接着往下看吧。
2025高考最低多少分上专科
专科大学一般在200分到300分左右录取,不过各省专科线不相同,如四川省150分;江西历史类270分、物理类240分等;当然如果想要上公办专科的话至少需过线5-10分左右,比如广东2024年物理类公办专科最低分234分,超专科线34分。
2024高考公办专科最低分数线
下面以个别省份为例,为大家带来公办专科大学最低录取分数线以及收分最低的公办大学名单汇总。
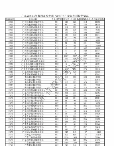
广东:物理类234分、历史类205分
2024年高考广东公办专科最低分物理组是234分,收分最低的是新疆和田学院(505组)。2024年广东物理类专科线是200分,意味着考生至少需要超过专科线34分才有机会上公办专科。
2024年高考广东公办专科最低分历史组是205分,收分最低的是东莞职业技术学院(530组、合作办学)。2024年广东历史类专科线是200,意味着考生至少需要超过专科线5分才有机会上公办专科。
历年专科录取分数线是多少(2025参考)
一、2024大专录取分数线是多少?
宁夏:文科200分、理科200分
云南:文科200分、理科200分
内蒙古:文科160分、理科160分
四川:文科150分、理科150分
重庆:历史类160分,物理类160分
陕西:文科150分、理科150分
湖南:历史类200分、物理类200分
河北:历史类200分、物理类200分
福建:历史类220分、物理类220分
辽宁:历史类150分、物理类150分
青海:文科120分、理科120分
河北:文科185分、理科185分
二、2023大专录取分数线
由2023年全国各地专科大学的最低分情况来看,吉林、宁夏、四川、陕西、辽宁等省份最低150分就能上专科学校,重庆、山西、广东等省份需要180分上专科学校,云南、安徽、湖南、湖北省省份最低200分就能上专科。部分省份的专科学校分数线达到了200分以上,比如说海南省,其次是江苏、福建省省份220分。
2023全国各地专科分数线一览表如下:
吉林:文科专科150分、理科专科150分
宁夏:文科专科150分、理科专科150分
江西:文科专科200分、理科专科200分
云南:文科专科200分、理科专科200分
内蒙古:文科专科230分、理科专科255分
四川:文科专科批150分、理科专科批150分
黑龙江:文史 160 分、理工 160 分
广西:理工类180分、文史类180分
安徽:文科专科200分、理科专科200分
贵州:理工类180分、文史类180分
陕西:文史类150分、理工类150分
重庆:历史类专科线180分、物理类专科线180分
山西:文史类专科批180分、理工类专科批130分


