阜南科技艺术学校
阜南科技艺术学校介绍
阜南科技艺术学校(原阜南县柴集高级职业中学)系安徽省示范职业高中,安徽省职业教育先进单位,阜阳市 花园式学校,安徽省重点建设学校、安徽省机电技术实训基地,安徽省现代农艺技术实训基地、安徽省电子电器实训基地。
阜南科技艺术学校办学条件
学校现有教职工131人,其中中、高级职称61人,专业课教师46人,双师型教师37人,学校拥有3栋教学楼、2栋综合楼、1栋3700平方米的实训大楼和4栋教工宿舍楼、3栋男、女生宿舍和标准化学生食堂和浴池。学校图书馆藏书76000多册,各类报到杂志百余种。学校实习、实训设备齐全,机械实训大厅和机械加工中心、电子电工综合实验室、家电维修实验室、智能机电一体化实训室、单片机实训室、数控实验室、钳工实验室、数控模拟实验室、制冷空调实验室、热气泵实训室、微机室、计算机检测实训室、高级电工考核实训室、钢琴室、古筝室、手工制作室、舞蹈室、绘画室、文艺活动室等39个。
阜南科技艺术学校办学发展
学校采用两条腿走路的办学模式,每位学生毕业前参加1-2种技术等级签定考试,获得中级职业资格证书和学历证书。愿意升学的学生,可参加职对口高考,近两年来,在对口高考报名人数增加、录取规模缩小、升学压力倍增的情况下,我校职对口本科升学人数逐年增加,今年25人考取本科,其中学前教育专业15人。阜阳市职业技能大赛已有41人获获一等奖,其中46人代表阜阳市参加省职业技能大赛,愿意就业的学生,我校已于长三角、珠三角的100多家企业建立就业安置的合作关系,学生就业安置率100%,稳定率在90%以上。
阜阳卫生学校
阜阳卫生学校简介
阜阳卫生学校经安徽省人民政府批准,始创于1958年春。1998年以来,经阜阳市委、市政府批准,阜阳卫生学校先后与安徽省华佗中医学校、阜阳市卫生职业技术学校、阜阳市工读学校合并。教学资源重组后,办学层次和办学规模不断发展壮大。校园面积109482平方米,建筑面积75454平方米,校园环境优美,布局优雅,景致怡人。2006年被教育部授予国家级重点中等职业学校。
阜阳卫生学校办学条件
学校始终把师资队伍建设作为头等大事来抓,目前已形成了以中青年为骨干的教师群体。师资力量雄厚,现有教职工140人,其中高级职称40人,中级职称47人,兼职教师58人。他们精通业务,教书育人,钟情教坛。近三年来,参与编写中、高职十三五规划教材35部,其中主编3人、副主编17人,发表科研论文44篇。
学校办学条件完善,教学设备先进、齐全。拥有教学楼、实验实训楼、学生公寓、图书馆、阶梯教室、多功能餐厅、浴室和设施齐全的运动场12000平方米。共有解剖、生理、病理、护理、中医等54个实验室;校外有34家二甲以上临床实习教学医院。
学校贯彻执行党的教育方针,落实立德树人的根本任务,全面推进素质教育,强化技能训练,为社会培养高素质的卫生技术人才。毕业生当年就业率达90.0%以上,中职毕业生当年对口升学率达85.0%左右。
颍上县止戈体育运动学校
颍上县止戈体育运动学校简介
颍上县止戈体育运动学校创办于1998年,是经市县教育部门审批,具有小学至中职办学资格的民办学校。
颍上县止戈体育运动学校校企合作
学校秉承崇文尚武,育人育心的办学宗旨,开设武术套路、散打、综合格斗、跆拳道等专业,教师和武术教练均毕业于正规院校,有多年的教学和比赛训练经验。学员毕业或在校期间,由我校负责推荐到国内外一流武术训练中心培训,并与多家保安公司、各省体育院校和体工队长期合作,对毕业的学生推荐就业或入学训练等。一批学生被北京体育大学、天津体育大学、吉林体育大学、安徽体育学院等各大院校录取。
颍上县止戈体育运动学校教学管理
学校采取封闭式管理教学,训练设备齐全,食宿条件完善,师资力量雄厚,全方位的监控,为学生的安全保驾护航。
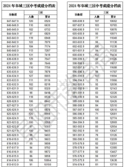
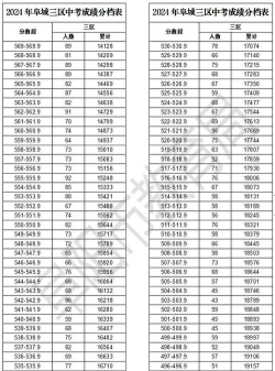
阜阳中考200分可以读的五年制大专学校
阜阳职业技术学院五年制大专
阜阳职业技术学院是经国家教育部批准筹建、安徽省人民政府批准成立的公办普通高等学校,为安徽省首批示范高职院校、国家百所骨干高职院校立项建设单位。
学校于1956年建校,1981年经安徽省人民政府批准为独立设置的成人高校阜阳教育学院。1998年开始举办高等职业教育,是安徽省起步较早的两所高职院校之一。2001年6月,更名为阜阳职业技术学院。2009年,阜阳建筑学校并入。2013年9月,阜阳卫生学校并入。
阜阳职业技术学院五年制大专学校建设
学校老校区占地400亩,校舍建筑面积23.8多万平方米,教学仪器设备总值8000多万元,馆藏图书67万册,电子图书6500GB,建成90个校内专业实训室和实习车间,建成财会综合实训基地、园林园艺实训基地等20个校内生产性实训基地,校内实训基地面积达到66932平方米。在建新校区占地1100亩,规划建筑面积46万平方米,总投资13.6亿元。建设1万平方米实训大楼一栋,使实验楼面积达到2万平方米。建设1万平米图书楼一栋,使阅览座位达1800座。建设学生公寓4栋 ,使学生公寓面积达到生均8平米。建食堂1个,使食堂总面积达15000平米。校园占地面积扩展到600亩左右。
阜阳职业技术学院五年制大专师资力量
按照国家有关标准配齐专职教师,使专任教师总数达到教职工总数的70%,师生比更趋合理。高级职称教师占教师总数25%,中级职称占45%,硕士学位教师达25%,双师型教师达55%。现有专兼职教师500多人。专任教师具有中、高级职称的71.51%,具有硕士研究生学位的49.45%,正高职称15人,博士2人。双师教师占专业课教师比例为92.59%。学校有园艺技术、数控技术等4个省级教学团队,13名省级专业带头人,4名省级教学名师,6名省级教坛新秀,3名全国农业职业教育教学名师,1名安徽省战略性新兴产业技术领军人才,1名市级拔尖人才。近年出版各类教材100多部,公开发表各类教科研论文5000余篇,省校两级质量工程项目立项工作不断取得新进展。
阜阳职业技术学院五年制大专社团文化
有青年志愿者协会、大学生就业创业协会、大学生新航线艺术团、碎风吉他协会、健美操协会、舞蹈协会、交谊舞协会、校园风文学社、轮滑社等。2012年4月13 日,为帮助阜阳市翔飞残障学校的残障儿童,经过为期一周的准备,工程科技学院的青年志愿者们于3月9日在校园内开展了义卖捐助活动。2009年12月11日,为了宣传共青团知识和当代大学生精神,工程科技学院团总支和学生会在该校D楼报告厅开展了共青团员知识竞赛。
阜阳职业技术学院五年制大专对外交流
2014年12月31日,该校工程科技学院在实训楼会议室举办了"科技发明与专利申请"的学术报告会。工程科技学院和生化工程学院的科研骨干、企业技术人员共70余人聆听了阜阳市知识产权领域专家主讲的报告会。2014年3月28日,合肥工业大学韩江教授应邀到该校工程科技学院进行学术交流。机电工程系全体教师和数控技术专业的学生代表共70余人参加了交流会。2015年10月15日下午,安徽建筑大学土木工程学院博士、硕士生导师王仕传副教授应邀与该校建筑工程系教师就建筑类专业课程教学改革和发展方向作交流。
最后,我想与你们分享一句话:不要小看自己,每个人都有光芒,只是需要不同的舞台来展现。愿你们在中职学校的学习之旅中积极向前,努力追求梦想。无论选择怎样的道路,都要用坚定的信心和勇气去迎接新的人生阶段。


