200多分的公办专科学校有广州民航职业技术学院、阜阳幼儿师范高等专科学校、济南工程职业技术学院等。200多分的成绩,同样有机会开启一段精彩的大学之旅。今天,就来给大家介绍一些200多分能上的公办专科学校,希望能为迷茫中的考生们提供一些参考和帮助。
部分省份200多分可上的公办专科院校盘点
为了让大家更直观地了解200多分能上的公办专科学校,下面将分省份为大家详细介绍:
安徽省
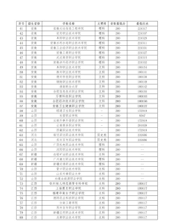
2024年安徽省专科批的录取分数线为文科200分、理科200分。在安徽省,200分能上的公办专科学校有不少。物理类,阜阳幼儿师范高等专科学校001组、马鞍山师范高等专科学校001组,2024年的录取分数均为200分,位次分别是313393和313383。
历史类的话,广西机电职业技术学院001组、可克达拉职业技术学院001组、山东轻工职业学院001组(中外合作办学)、湛江幼儿师范专科学校001组,2024年的录取分数也都是200分,位次在135188-135225之间。
甘肃省
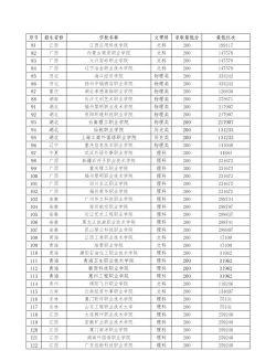
甘肃省2024年专科批的录取分数线是文科160分、理科160分。对于200分左右的理科考生来说,可以报考云南林业职业技术学院,2023年在甘肃省高职专科批R段的录取分数为205分;包头职业技术学院、济南工程职业技术学院等在2023年的录取分数为200分。
文科方面,200分能上的公办专科学校有河北对外经贸职业学院001专业组、宣化科技职业学院001专业组、西宁城市职业技术学院001专业组、哈密职业技术学院001专业组等,2024年的录取分数均为200分,位次是59137。
广东省
广东省2024年专科批次线历史类和物理类均为200分。不过,广东省内公办大专的录取分数相对较高,历史类最低205分能上东莞职业技术学院530组(合作办学);物理类最低272分能上广州城市职业学院511组(中外合作)。
如果200多分想上广东省的公办专科学校,可能需要关注一些中外合作办学专业组或者等待征集补录的机会。但对于省外的一些公办专科学校,200分还是有机会被录取的。在其他省份招生的一些公办专科院校,会根据当地的招生计划和报考情况,降低录取分数线。
200多分可以上的院校推荐及优势分析
天津市职业大学
天津市职业大学始建于1978年,是全国最早举办高等职业教育的院校之一,为首批“国家示范性高等职业院校”和全国优质高职高专院校,2019年更是入选“双高计划”高水平院校A档建设单位,在高职院校中的排名相当靠前。在2024软科中国高职院校排名中,天津市职业大学位居第2。
学校的知名度和认可度颇高,开设有51个专业,涵盖了多个领域,能够满足不同学生的需求。多年来,该校毕业生的就业率稳定在95%以上,始终保持在全市前列。在与世界五百强企业、国家级产业园区的合作过程中,学校已建成了不少产业学院、实训基地,紧密结合社会和企业需求培养人才,为毕业生的就业提供了有力保障。
滨州职业学院
滨州职业学院是首批国家骨干高职和定向士官培养院校,在省内颇具名气。学校拥有60余年的办学历史,设有48个招生专业,护理、机械等都是王牌专业。
对于想要毕业后更容易找到工作的同学来说,可以报考这所学校的订单班。订单班由学校和本省企业合力设置,在学生就读前便会明确就业方向和工作岗位,能大大降低学生对未来发展的焦虑。以电气自动化技术专业为例,该专业的订单班学生在学习期间就会参与企业的实际项目,毕业后可直接进入合作企业工作。而且,滨州职业学院在定向士官培养方面经验丰富,为军队输送了大量高素质人才。
烟台职业学院
烟台职业学院是山东高职教育示范高校,也是全国骨干高职院校。在产教融合方面,学校成绩斐然,开设的专业直接对接省内产业链,如现代物流、生物医药等领域。学校与众多企业建立了紧密的合作关系,共建了多个产业学院,实现了产业与教育的深度融合。
作为烟台第一所招收留学生的大专院校,该校在国际合作方面也成果显著。与韩国高校共同举办专科教育项目,共同培养计算机、机电方面的应用人才。2024年,学校还在国际交流与合作上持续发力,与多所国外院校和机构开展合作交流活动,为学生提供了更广阔的国际视野和发展空间。
广州民航职业技术学院
广州民航职业技术学院直属中国民用航空局,是民航内独立设置实施高等职业教育的全日制公办普通高校。学校的民航专业非常齐全,人才培养水平颇高,不仅对国内民航建设有着重要影响,也为大湾区空港建设输送了大量人才。
学校的硬件条件优越,实训条件领先国内同类院校,建有飞机维修类、机场运行及通导类、安全与服务类三大类专业实训基地,拥有29架大中小型教学用飞机,111台飞机发动机,5万多台(件)飞机零部件和一大批专业设备。在专业设置上,其专业方向覆盖了民航所有的重要岗位,毕业生很容易找到对口工作,就业对口率一直保持在较高水平。


