有一定概率能考上,具体还需看专业和省份。四川师范大学对于艺考生的录取,通常会综合考虑文化课和专业课成绩,且每年的录取情况都有所不同。2025考生需密切关注四川师范大学的招生简章,了解具体的录取要求和分数线。
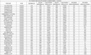
四川师范大学往年美术类各省录取分数线汇总
小编汇总了四川师范大学往年美术类在各省的录取分数线。通过对往年的美术类分数线进行分析,2025年的考生能够更清晰地了解四川师范大学的学术水平,从而为自身未来的职业规划与前景做出更明智的选择。
我校2024年在四川省艺术类本科录取
我校2024年在四川省艺术类本科录取
我校2024年在四川省艺术类本科录取
我校2024年在四川省艺术类本科录取
2025美术生文化课571分值得报的大学推荐
2025文化课571分美术生适合选择的大学有:
1、上海大学
上海大学分为三个小区,环境都很好,其中以宝山区的环境为最,被评为“全国绿化模范学校”,泮池周围的风景非常的美!校园很大,周围有弘基广场、沃尔玛,交通也很方便,北门一出去就有个地铁7号线站..学习氛围的话,开学第一周自修教室和图书馆70%以上都坐满了人
上海大学211重点,硬件设施很好,吃喝玩乐校园里一应俱全,学习氛围也不错啊,图书馆我觉得很棒。上海大学实行的是三学期制,这点和大部分学校不一样,挺好的。上海大学是所综合性大学,文理兼修,工科也是很不错的哦,测控自动化什么的也蛮好。
强的专业是社会学和物理类的专业,国家级重点。学风很好,尤其是理工科,学习氛围很浓,住宿条件不错,很干净。
2、东华大学
个人看法:东华服装设计最好。视觉传达差不多就是平面设计,学的人肯定要比数字媒体多,但数字媒体正在发展,就业前景不比平面差,当然,对计算机的要求必然高,也更专门一些。学视觉传达没什么好说的,但学数字你要考虑一下你的计算机能力。东华是重本211大学。生活环境,东华不错。至于学习环境和机遇,上海是非常好的。
服装、纺织专业很好,国内数一数二,国际也不错。材料专业也不错。延安校区在市区,出行很方便,就是校区不大,毕竟是老校区嘛。松江校区的环境很好,比较大,就是离市区比较远。
东华的纺织、服装、材料、轻化、设计、表演、机械、自动控制、环保、工商管理、通讯、会计、日语等都是不错的。前四个专业还是全国重点学科,排名全国第一。
3、四川农业大学
川农已将科研实力转向成都,效果明显,打破了学校地理位置的发展壁垒,进入了快速发展时期。
四川农业大学雅安新校区 第三宿舍21舍也是四人间。三区是学校除了研究生公寓外住宿硬件条件最好的住宿区。位置我认为不如一区和二区。一区吃很方便,二区在中间,食堂十教都近,三区相对偏点儿。
四川农业大学的资环院里有好的专业,也有不好的专业。总体上不错,是川农第一大院(人数)。


