零壹教育网
首页 教育资讯 2024舞林专业排名

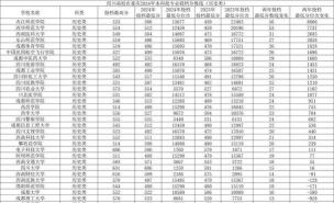
2024舞林专业排名

根据提供的信息,以下是2024年舞蹈表演专业排名靠前的大学列表:

1. 北京舞蹈学院

2024舞林专业排名

2. 中央民族大学

3. 广西艺术学院

4. 星海音乐学院

5. 武汉音乐学院

6. 内蒙古艺术学院

7. 安徽师范大学

2024舞林专业排名

8. 上海戏剧学院

9. 重庆大学

10. 吉林艺术学院

11. 四川大学

12. 山东艺术学院

13. 山西艺术职业学院

14. 河北艺术职业学院

2024舞林专业排名

15. 河南职业技术学院

16. 北京戏曲艺术职业学院

17. 厦门演艺职业学院

请注意,排名可能会根据不同的评价标准和来源有所变化。

关键词: 内蒙古艺术学院
以上内容仅供参考,部分文章来自自研大数据AI生成,内容摘自公开信息平台,仅供学习参考,不准确地方请联系删除处理!

相关内容