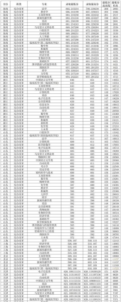
根据提供的信息,以下是2024年郑州大学一些热门专业的排名情况:
化学- 排名全国前12%,较2023年增加1个。
材料科学与工程- 排名全国前12%,较2023年增加1个。
计算机科学与技术- 排名全国前10%,专业评级为A。
临床医学- 排名全国前10%,专业评级为A。
水利工程- 排名全国前10%,专业评级为A。
法学- 排名全国前10%,专业评级为A。
新闻学- 排名全国前10%,专业评级为A。
物理学- 排名全国前12%,较2023年增加1个。
经济学- 排名全国前12%,较2023年增加1个。
外国语言文学- 排名全国前12%,较2023年增加1个。
土木工程- 排名全国前10%,专业评级为A。
机械工程专业- 排名全国前10%,专业评级为A。
护理学- 排名全国前10%,专业评级为A。
信息与计算科学- 排名全国前10%,专业评级为A。
通信工程- 排名全国前10%,专业评级为A。
旅游管理- 排名全国前10%,专业评级为A。
行政管理- 排名全国前10%,专业评级为A。
高分子材料与工程- 排名全国前10%,专业评级为A。
电子商务- 排名全国前10%,专业评级为A。
电子信息工程- 排名全国前10%,专业评级为A。
人工智能- 排名全国前10%,专业评级为A。
国际经济与贸易- 排名全国前10%,专业评级为A。
市场营销- 排名全国前10%,专业评级为A。
视觉传达设计- 排名全国前10%,专业评级为A。
英语- 排名全国前10%,专业评级为A。
数学与应用数学- 排名全国前10%,专业评级为A。
请注意,以上信息基于2024年5月15日发布的数据,排名可能会随着时间和不同评价机构的更新而有所变化。如果您需要最新的排名信息,请参考官方发布的最新排名结果


