零壹教育网
首页 教育资讯 2024年浙江体育专业排名

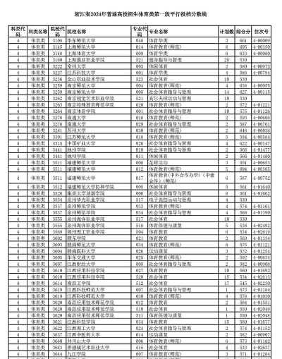
2024年浙江体育专业排名

根据提供的信息,以下是浙江省内体育专业大学排名情况:

体育教育专业排名(排名可能会随时间变化,以下信息以最新发布的为准):

2024年浙江体育专业排名

第1名:温州大学

第2名:湖州师范学院

第3名:杭州师范大学

第4名:浙江师范大学

第5名:嘉兴大学

2024年浙江体育专业排名

第6名:丽水学院

第7名:绍兴文理学院

智能体育工程专业排名(以最新发布的信息为准):

第1名:浙江大学

休闲体育专业排名(以最新发布的信息为准):

2024年浙江体育专业排名

第1名:温州商学院

第2名:温州大学

第3名:杭州师范大学

请注意,排名可能会根据不同的标准和评估机构有所变化。建议查看最新的教育评估报告或官方排名信息以获得最准确的数据

关键词: 杭州师范大学
以上内容仅供参考,部分文章来自自研大数据AI生成,内容摘自公开信息平台,仅供学习参考,不准确地方请联系删除处理!

相关内容