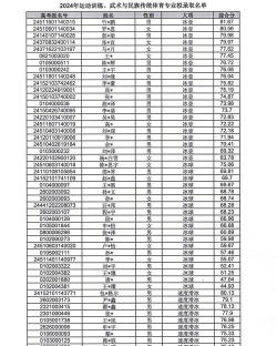
哈尔滨体育学院在体育专业方面有着较高的声誉和排名,以下是哈尔滨体育学院的一些专业排名信息:
体育教育
全国排名:第4名
星级排名:A+
办学层次:中国顶尖应用型专业
运动康复
全国排名:第1名
星级排名:A++
办学层次:中国一流应用型专业
运动人体科学
全国排名:第1名
星级排名:A++
办学层次:中国一流应用型专业
舞蹈表演
全国排名:第3名
星级排名:A
办学层次:中国一流应用型专业
运动训练
全国排名:第3名
星级排名:A
办学层次:中国一流应用型专业
冰雪运动
全国排名:第4名
星级排名:A+
办学层次:中国高水平应用型专业
休闲体育
全国排名:第4名
星级排名:A
办学层次:中国高水平应用型专业
体育经济与管理
全国排名:第4名
星级排名:A
办学层次:中国高水平应用型专业
表演
全国排名:第16名
星级排名:B++
办学层次:中国高水平应用型专业
社会体育指导与管理
全国排名:第18名
星级排名:B++
办学层次:中国高水平应用型专业
武术与民族传统体育
全国排名:第6名
星级排名:B+
办学层次:中国区域一流应用型专业
新闻学
全国排名:第50名
星级排名:B
办学层次:中国区域一流应用型专业
英语
全国排名:第194名
星级排名:B
办学层次:中国区域一流应用型专业
以上排名信息根据最近发布的数据整理而来,具体排名可能会随着时间和评价标准的改变有所调整。


