零壹教育网
首页 教育资讯 2024年农林学专业排名

2024年农林学专业排名

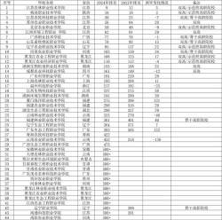
当前中国农林科学专业的排名情况如下:

中国农业大学

2024年农林学专业排名

位置:北京

特色:农业科学,综合性大学,涵盖多个学科门类

南京农业大学

位置:江苏南京

特色:农业科学,农业工程,食品科学

2024年农林学专业排名

浙江大学

位置:浙江

特色:农业科学,发展多个相关学科

西北农林科技大学

位置:陕西杨凌

特色:农业科学和生命科学,植物保护学和畜牧学

2024年农林学专业排名

华中农业大学

位置:湖北武汉

特色:农业科学,园艺学,畜牧学,兽医学

这些大学在农业科学、生物科学、环境科学等领域具有较强的教学和科研实力,并在国内外享有较高声誉。选择大学时,学生应根据自己的兴趣和职业规划综合考虑专业特色、师资力量、科研条件等因素

关键词: 南京农业大学
以上内容仅供参考,部分文章来自自研大数据AI生成,内容摘自公开信息平台,仅供学习参考,不准确地方请联系删除处理!

相关内容