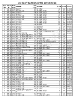
根据提供的信息,以下是部分体育类大学的专业线排名情况:
北京体育大学
体育教育、社会体育指导与管理等专业分数线在600分左右。
体育学、运动训练等专业在650分以上。
上海体育学院
体育教育、社会体育等专业分数线在550分左右。
体育学、运动训练等专业在600分以上。
武汉体育学院
体育教育、社会体育等专业分数线在550分左右。
体育学、运动训练等专业在600分以上。
天津体育学院
体育教育、社会体育等专业分数线在500分左右。
体育学、运动训练等专业在550分以上。
软科中国大学专业排名(2024年)
运动训练专业排名中,北京体育大学以35.4分排名榜首。
体育学专业大学排名(2023年)
排名前10名的大学包括北京体育大学、武汉体育学院、成都体育学院等。
请注意,这些信息可能因年份和具体招生政策而有所不同,建议参考最新的官方发布信息或咨询相关院校招生办公室以获得最准确的数据


