根据提供的信息,以下是贵州大学的专业排名情况:
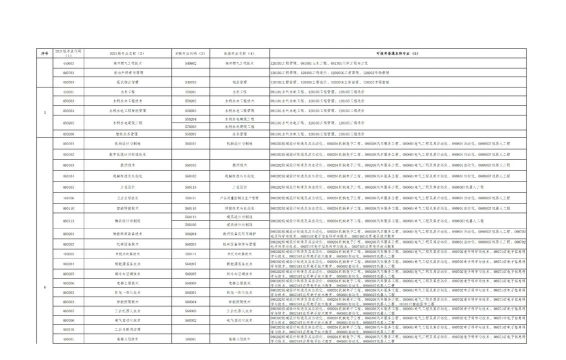
贵州大学优势专业排名(按推荐人数)
1. 土木工程推荐指数:4.7(365人推荐)
2. 计算机科学与技术推荐指数:4.6(258人推荐)
3. 机械设计制造及其自动化推荐指数:4.6(217人推荐)
4. 采矿工程推荐指数:4.6(209人推荐)
5. 电气工程及其自动化推荐指数:4.7(193人推荐)
6. 法学推荐指数:4.2(120人推荐)
7. 经济学类推荐指数:4.1(120人推荐)
8. 土建类推荐指数:4.5(93人推荐)
9. 哲学推荐指数:3.6(88人推荐)
10. 经济学推荐指数:4.6(80人推荐)
11. 金融学推荐指数:4.4(69人推荐)
12. 水利水电工程推荐指数:4.5(59人推荐)
13. 英语推荐指数:4.4(56人推荐)
14. 资源勘查工程推荐指数:4.6(53人推荐)
15. 勘查技术与工程推荐指数:4.8(51人推荐)
16. 建筑学推荐指数:4.7(50人推荐)
17. 信息与计算科学推荐指数:4.4(46人推荐)
18. 冶金工程推荐指数:4.3(46人推荐)
19. 汉语言文学推荐指数:4.3(46人推荐)
20. 电气类推荐指数:4.4
贵州大学国家级一流本科专业
1. 法学
2. 汉语言文学
3. 英语
4. 机械设计制造及其自动化
5. 材料科学与工程
6. 电气工程及其自动化
7. 电子科学与技术
8. 计算机科学与技术
9. 化学工程与工艺
10. 矿物加工工程
11. 酿酒工程
12. 植物保护
13. 动物科学
14. 林学
15. 工程管理
16. 农林经济管理
17. 行政管理
18. 社会工作
19. 数学与应用数学
20. 生物科学
21. 冶金工程
22. 通信工程
23. 自动化
24. 采矿工程
25. 农学
26. 化学
27. 旅游管理
贵州大学特色专业
国家特色专业:采矿工程、植物保护、林学、农林经济管理、材料科学与工程、自动化、哲学、电子科学与技术、冶金工程、汉语言文学、机械设计制造及其自动化。
双一流建设学科名单:植物保护。
国家重点学科:农药学。
卓越工程师教育培养计划学科专业:采矿工程、机械设计制造及其自动化、电气工程及其自动化、计算机科学与技术、化学工程与工艺、制药工程。
以上排名信息根据最近更新的数据整理而来,具体排名可能会随着时间和不同评价机构的评估有所变化。


