零壹教育网
首页 教育资讯 2024年录取农林大学专业排名

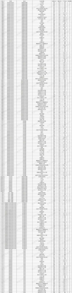
2024年录取农林大学专业排名

根据提供的信息,以下是部分中国农林类大学的排名和热门专业情况:

中国农业大学

2024年录取农林大学专业排名

排名:2024年中国农业大学荣登全国农林类院校的榜首。

热门专业:

电子信息类

计算机类

水利类

农业工程类

北京林业大学

排名:在2024年的排名中,北京林业大学位列中国农林类大学的前十名。

其他农林类大学

排名:

2024年录取农林大学专业排名

1. 华中农业大学

2. 南京农业大学

3. 西北农林科技大学

4. 华南农业大学

5. 福建农林大学

6. 东北林业大学

7. 四川农业大学

8. 东北农业大学

热门专业(以四川农业大学为例):

农学

动物科学

2024年录取农林大学专业排名

动物医学

园林

财务管理

请注意,以上信息可能随时间而有所变化,建议参考最新的官方发布信息或教育评估机构的数据。如果您需要更详细的信息,请告诉我,我会尽力提供帮助

关键词: 四川农业大学
以上内容仅供参考,部分文章来自自研大数据AI生成,内容摘自公开信息平台,仅供学习参考,不准确地方请联系删除处理!

相关内容