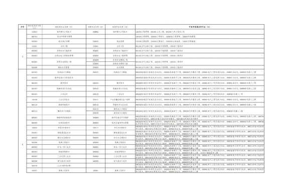
根据提供的信息,以下是贵州财税专业在全国的排名情况:
贵州财务管理专业排名(2025年最新)
1. 贵州师范学院
2. 贵阳人文科技学院
3. 贵州商学院
4. 凯里学院
5. 贵州医科大学神奇民族医药学院
6. 贵州黔南经济学院
7. 兴义民族师范学院
8. 贵阳信息科技学院
9. 贵州黔南科技学院
10. 贵州工程应用技术学院
贵州税收学专业排名(2025年最新)
1. 贵州商学院
2. 贵州财经大学
校友会2024中国大学税收学专业排名(研究型)
1. 西南财经大学
2. 厦门大学
3. 中央财经大学
校友会2024中国大学税收学专业排名(应用型)
1. 贵州商学院
2. 湖南财政经济学院
3. 河南财政金融学院
请注意,这些排名信息来源于不同时间点的数据,具体排名可能会随着时间和不同排名机构的评价标准有所变化。如果您需要最新的排名信息,建议直接访问相关排名发布机构的官方网站或联系教育机构获取最新数据


