零壹教育网
首页 教育资讯 2025年贵州铁道专业排名

2025年贵州铁道专业排名

根据提供的信息,以下是贵州铁道专业排名的相关信息:

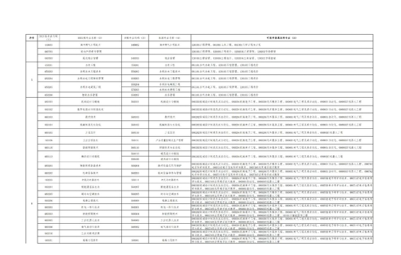
贵州铁道工程专业排名(本科批)

2025年贵州铁道专业排名

华东交通大学

上海应用技术大学

兰州交通大学

上海工程技术大学

南昌交通学院

2025年贵州铁道专业排名

贵州铁道供电技术专业排名(2025年最新)

贵阳职业技术学院

贵州铁道车辆技术专业排名(专科批)

武汉铁路职业技术学院

贵州铁路学校排名(不分先后)

2025年贵州铁道专业排名

贵阳铁路高级技工学校

贵阳铁路工程学校

贵州铁路技师学院

请注意,排名信息来源于网络,仅供参考,具体排名可能会根据不同的评价标准和时间有所变化。如果您需要最新的排名信息,建议查询权威的教育评估网站或相关官方发布的信息

以上内容仅供参考,部分文章来自自研大数据AI生成,内容摘自公开信息平台,仅供学习参考,不准确地方请联系删除处理!

相关内容