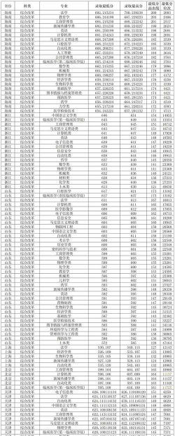
郑州大学在2024年的专业排名表现十分出色,根据软科发布的排名信息,以下是郑州大学在2024年的一些专业排名情况:
化学:
化学工程与技术专业进入全国排名前12%,较2023年增加1个。
马克思主义理论:
该专业也进入全国排名前12%,较2023年增加1个。
材料科学与工程:
该专业在全国排名前12%,较2023年增加1个。
临床医学:
该专业是河南省的王牌专业,在全国排名中表现优异。
康复治疗学专业:
在2024年软科中国大学专业排名A类中位列第9名。
纳米科学与技术:
在世界排名第9位,化学工程、材料科学与工程、冶金工程、能源科学与工程、化学等6个学科进入世界前50位,12个学科进入世界前100位。
上榜学科数量:
郑州大学共有45个学科上榜(前50%),在全国排名第10位。
上榜专业总数:
郑州大学共上榜114个专业,其中16个专业进入全国前十,41个专业进入全国前二十。
全国前10%的专业数量:
达到42个,显示出郑州大学在多个学科领域的强劲实力。
以上信息根据软科发布的最新排名数据整理得出,排名情况可能会随着时间和不同评价机构的更新而有所变化。


