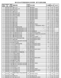
当前体育生高考专业排名信息如下:
体育教育专业
A+层次高校:北京体育大学、上海体育大学、华东师范大学、福建师范大学、武汉体育学院、北京师范大学、首都体育学院。
运动训练专业
A+层次高校:北京体育大学、华东师范大学、上海体育大学、首都体育学院、武汉体育学院。
社会体育指导与管理专业
A+层次高校:上海体育大学、华东师范大学、首都体育学院、华南师范大学、成都体育学院。
武术与民族传统体育专业
A+层次高校:浙江大学、扬州大学。
其他专业
排名涉及的专业还包括体能训练、休闲体育、运动人体科学、运动康复、冰雪运动、电子竞技运动与管理、智能体育工程、体育旅游等。
以上排名信息基于最近发布的数据,具体排名可能会根据不同的评价体系和更新有所变化。建议访问相关官方网站或查阅最新发布的排名榜单获取最准确的信息


