零壹教育网
首页 教育资讯 2025年贵州大学临床专业排名

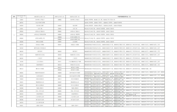
2025年贵州大学临床专业排名

根据提供的信息,以下是贵州临床医学专业的大学排名情况:

1. 贵州医科大学

2025年贵州大学临床专业排名

2. 贵州中医药大学时珍学院

3. 贵州中医药大学

4. 遵义医科大学医学与科技学院

2025年贵州大学临床专业排名

5. 遵义医科大学

6. 遵义医药高等专科学校

7. 贵阳护理职业学院惠水校区

2025年贵州大学临床专业排名

8. 黔南民族医学高等专科学校

9. 贵阳市卫生学校

10. 贵州省毕节市卫生学校

请注意,排名可能会根据不同的标准和来源有所变化,以上排名仅供参考。如果您需要更详细的信息,建议参考教育部或相关官方发布的最新排名信息

关键词: 贵州中医药大学
以上内容仅供参考,部分文章来自自研大数据AI生成,内容摘自公开信息平台,仅供学习参考,不准确地方请联系删除处理!

相关内容