零壹教育网
首页 教育资讯 2024体育专业大学录取排名

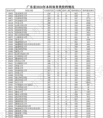
2024体育专业大学录取排名

根据提供的信息,以下是2024年全国体育专业排名的部分信息:

体育教育专业排名

2024体育专业大学录取排名

北京体育大学- 国家级

上海体育学院- 国家级

华东师范大学- 国家级

天津体育学院- 国家级

福建师范大学- 国家级

武汉体育学院- 国家级

华南师范大学- 国家级

成都体育学院- 国家级

清华大学- 国家级

2024体育专业大学录取排名

北京师范大学- 国家级

体育类大学排名(研究型)

北京体育大学- 中国八星级专业(8),中国七星级专业(7),中国六星级专业(6),中国五星级专业(5),中国四星级专业(4)

上海体育学院- 中国六星级专业(6),中国五星级专业(5),中国四星级专业(4)

沈阳体育学院- 中国六星级专业(6),中国五星级专业(5)

体育类大学排名(应用型)

深圳技术大学- 应用型前三强之一

合肥大学- 应用型前三强之一

重庆科技大学- 应用型前三强之一

2024体育专业大学录取排名

西安体育学院- 应用型前三强之一

山东体育学院- 应用型前三强之一

河北体育学院- 应用型前三强之一

请注意,以上排名信息可能根据不同的评价标准和来源有所变化。如果您需要更详细的信息,请告诉我,我会尽力提供帮助

关键词: 北京体育大学
以上内容仅供参考,部分文章来自自研大数据AI生成,内容摘自公开信息平台,仅供学习参考,不准确地方请联系删除处理!

相关内容