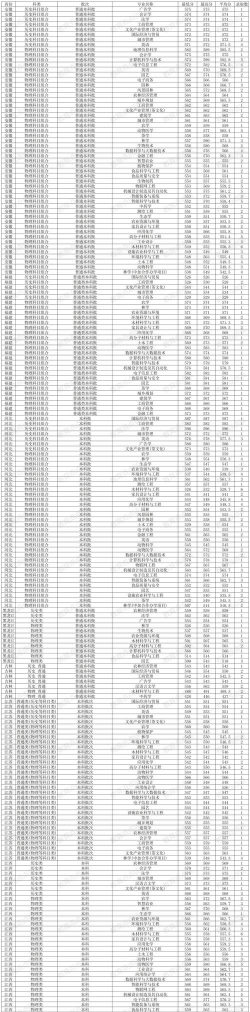
浙江农林大学在农林专业领域的评级排名表现如下:
五星级学科 (5星):
林业工程
林学
四星级学科(4星):
风景园林学
农业资源与环境
作物学
畜牧学
三星级学科(3星):
农林经济管理
园艺学
兽医学
建筑学
城乡规划学
食品科学与工程
生态学
光学工程
法学
艺术学理论
生物学
计算机科学与技术
设计学
化学
马克思主义理论
学科评级(分档方式):
A类:
前2%为A+,2%~5%为A,5%~10%为A-
B类:10%~20%为B+,20%~30%为B,30%~40%为B-
C类:40%~50%为C+,50%~60%为C,60%~70%为C-
浙江农林大学的学科评级中,林学和风景园林学被评为B+类,而林业工程、农业资源与环境、生态学、生物学被评为C+类。浙江农林大学在浙江省内的农林专业排名中通常位列前列,并在某些专业如园艺学上获得了国家级一流本科专业的称号。
请注意,排名信息可能会随时间更新,建议查阅最新的官方数据或相关排名机构发布的信息以获得最准确的排名情况


