零壹教育网
首页 教育资讯 2025年贵州大专招生专业排名

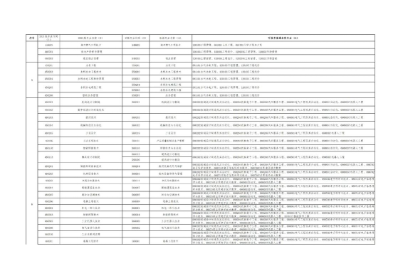
2025年贵州大专招生专业排名

根据提供的信息,以下是贵州专科重点专业的排名情况:

贵州交通职业技术学校

2025年贵州大专招生专业排名

校友会高职一类排名第58位

重点专业:计算机网络、机电一体化技术、新能源汽车技术等

贵州轻工职业技术学校

校友会高职一类排名第81位

重点专业:酿酒技术、新能源汽车技术、计算机应用技术等

贵州航空职业技术学院

校友会高职一类排名第108位

重点专业:空中乘务、飞机机电设备维修、机械设计与制造等

贵州装备制造职业学院

排名信息未提供,但根据名称推测可能涉及装备制造相关专业

护理学专业

需求持续增长,因人口老龄化加剧

电子商务专业

2025年贵州大专招生专业排名

随着电子商务行业的快速发展,人才需求持续增长

旅游管理专业

贵州独特的自然风光和民族文化,旅游业发展前景广阔

健康管理专业

随着人们对健康生活的重视,逐渐受到关注

互联网应用技术专业

互联网行业蓬勃发展,对技术人才的需求持续增长

会计学专业

财务管理是企业运营的重要方面,会计专业人才一直受到热捧

机械设计制造专业

随着贵州制造业的发展,对工程技术人才的需求增加

物流管理专业

随着电商和跨境贸易的兴起,物流管理专业需求逐渐扩大

建筑工程技术专业

2025年贵州大专招生专业排名

城市建设和基础设施建设项目不断增多,建筑工程技术人才需求旺盛

草业科学专业

贵州是优势草原资源区,草业科学专业有较好的就业前景

请注意,以上排名信息基于2023年和2025年的数据,排名可能会随着时间和各种因素(如教学质量、就业率等)发生变化。如果您需要最新的排名信息,建议查询相关官方渠道或教育机构发布的最新数据

以上内容仅供参考,部分文章来自自研大数据AI生成,内容摘自公开信息平台,仅供学习参考,不准确地方请联系删除处理!

相关内容