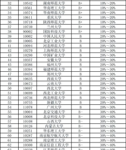
根据教育部第四轮学科评估结果,数学专业的排名如下:
北京大学:
数学学科获得A+评级,在全国前2%。
复旦大学:
数学学科获得A+评级,在全国前2%。
山东大学:
数学学科获得A+评级,在全国前2%。
中国科学技术大学:
数学学科获得A+评级,在全国前2%。
清华大学:
数学学科获得A+评级,在全国前2%。
浙江大学:
数学学科获得A+评级,在全国前2%。
南开大学:
数学学科获得A+评级,在全国前2%。
北京航空航天大学:
数学学科获得A评级,在全国前2%。
南京大学:
数学学科获得A评级,在全国前2%。
西安交通大学 、 中山大学:
数学学科被认定为“中国顶尖学科”,即在全国排名前3%或前2名。
请注意,这些信息基于2024年4月10日发布的数据,教育部尚未公布第五轮评估结果。排名并非衡量高校数学学科实力的唯一标准,还需结合学科特色、师资力量、科研成果等多方面因素综合考量


