零壹教育网
首页 教育资讯 2025年贵阳学院专业数量排名

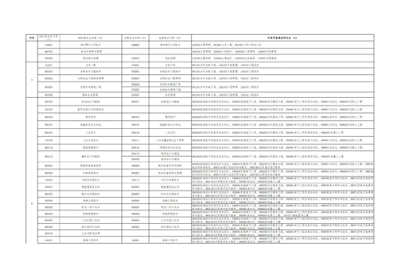
2025年贵阳学院专业数量排名

贵阳学院的专业排名情况如下:

法学- 推荐指数:4.4(84人推荐)

2025年贵阳学院专业数量排名

学前教育- 推荐指数:4.4(16人推荐)

音乐表演- 推荐指数:4.3(15人推荐)

法学- 推荐指数:4.3(68人推荐)

2025年贵阳学院专业数量排名

美术学- 推荐指数:4.2(54人推荐)

通信工程- 推荐指数:4.2(18人推荐)

园林- 推荐指数:4.2(26人推荐)

2025年贵阳学院专业数量排名

音乐学- 推荐指数:4.1(44人推荐)

计算机科学与技术- 推荐指数:4.1(52人推荐)

电子信息科学与技术- 推荐指数:4.0(55人推荐)

请注意,这些排名信息可能随时间而有所变化,建议参考贵阳学院官方网站或相关教育部门发布的最新信息以获得最准确的排名数据

关键词: 贵阳学院
以上内容仅供参考,部分文章来自自研大数据AI生成,内容摘自公开信息平台,仅供学习参考,不准确地方请联系删除处理!

相关内容