零壹教育网
首页 教育资讯 2024年现代化农业专业学校排名

2024年现代化农业专业学校排名

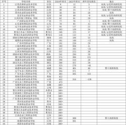
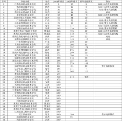
当前,根据提供的信息,以下是部分现代农业技术专业大学排名情况:

1. 江苏农林职业技术学院 - 全国排名第一位

2024年现代化农业专业学校排名

2. 苏州农业职业技术学院 - 全国排名第二位

3. 咸宁职业技术学院 - 全国排名第三位

4. 华中农业大学 - 全国排名第四位

2024年现代化农业专业学校排名

5. 南京农业大学 - 全国排名第五位

2024年现代化农业专业学校排名

6. 中国农业大学 - 全国排名第一位

7. 华南农业大学 - 全国排名第四位

8. 四川农业大学 - 全国排名第五位

9. 东北农业大学 - 全国排名第十位

请注意,排名可能会根据不同的评价标准和时间有所变动。建议参考最新的排名信息或直接咨询相关教育机构以获得最准确的排名数据

以上内容仅供参考,部分文章来自自研大数据AI生成,内容摘自公开信息平台,仅供学习参考,不准确地方请联系删除处理!

相关内容