快速搜索

快速找到您需要的学校信息,助力择校决策

关于 "四川警察学院" 的搜索结果

四川警察学院是什么水平
查看详情
教育资讯

四川警察学院是什么水平

四川警察学院在本省的本科院校中备受关注。四川警察学院展现出优秀的发展潜力和良好的发展前景。因此,可以说四川警察学院实力不错。下文小编将为2025年的高考生深入解读四川警察学院的实力水平。同时,还将介绍四川...

2025-08-27
查看详情
四川警察学院排名
查看详情
大学排名

四川警察学院排名

1、在2022年软科中国最好大学排名中,四川警察学院排名全国第549名。2、在2022年校友会中国大学排名中,四川警察学院排名全国第418名。3、在2022年金平果本科院校竞争力排名中,四川警察学院排名全国第902名。综上可知,四川...

2025-09-02
查看详情
四川警察学院属于什么档次
查看详情
教育资讯

四川警察学院属于什么档次

许多学生对四川警察学院的情况十分关注,想要了解其在高校中的层次定位。四川警察学院是一所在四川内具有报考价值的高校。以下,小编将从四川警察学院的综合实力、具体排名以及在校生满意度及口碑等多个维度,对四川...

2025-08-27
查看详情
四川警察学院是几本
查看详情
教育资讯

四川警察学院是几本

四川警察学院是二本。四川警察学院在不同省份的招生批次有所不同,一般来说,如果四川警察学院在你所在省份是本科一批招生,那么就可以认为它是一本大学,如果是本科二批招生,则可能被认为是二本大学。判断四川警察...

2025-08-27
查看详情
四川警察学院毕业就有编制吗
查看详情
大学排名

四川警察学院毕业就有编制吗

2024年想要报考四川警察学院的高三学生,都非常关心四川警察学院的就业情况。本文将回答四川警察学院毕业就有编制吗?工作包分配吗等问题,帮助高三学生提前规划未来职业。鲁芽小编在查询了四川警察学院2024年的招生章...

2025-08-31
查看详情
高考多少分能上四川警察学院
查看详情
教育资讯

高考多少分能上四川警察学院

高考预计考500分以上能上四川警察学院。四川警察学院在各省的录取分数线有所不同,例如:2023年四川警察学院在河南理科本科二批录取分数线为513分。2023年四川警察学院在四川理科本科二批录取分数线为525分。具体内容如下...

2025-08-27
查看详情
河南位次排名多少能上四川警察学院?
查看详情
教育资讯

河南位次排名多少能上四川警察学院?

一、河南位次排名多少能上四川警察学院?1、文科四川警察学院2024年在河南文科的最低分是529分、最低位次是21553名。四川警察学院2023年在河南文科的最低分是545分、最低位次是25536名。四川警察学院2022年在河南文科的最低分...

2025-08-15
查看详情
河南位次排名多少能上四川警察学院
查看详情
教育资讯

河南位次排名多少能上四川警察学院

一、河南位次排名多少能上四川警察学院?1、文科四川警察学院2024年在河南文科的最低分是529分、最低位次是21553名。四川警察学院2023年在河南文科的最低分是545分、最低位次是25536名。四川警察学院2022年在河南文科的最低分...

2025-09-17
查看详情
河南位次排名多少能上四川警察学院
查看详情
大学排名

河南位次排名多少能上四川警察学院

一、河南位次排名多少能上四川警察学院?1、文科四川警察学院2024年在河南文科的最低分是529分、最低位次是21553名。四川警察学院2023年在河南文科的最低分是545分、最低位次是25536名。四川警察学院2022年在河南文科的最低分...

2025-09-16
查看详情
四川警察学院是一本还是二本
查看详情
教育资讯

四川警察学院是一本还是二本

四川警察学院是二本。从四川警察学院的招生批次、专业实力、综合实力、社会认可度和就业情况,得出不能简单以一本或二本定义该校的结论,强调应更关注学校的内涵和特色。以下是小编整理的关于四川警察学院的相关信息...

2025-08-27
查看详情
四川警察学院全国各省招生计划
查看详情
教育资讯

四川警察学院全国各省招生计划

一、四川警察学院年全国省招生计划1、在四川各专业招生计划四川警察学院在四川招生人数共计1115人,招生专业有法学, 法学, 网络安全与执法, 交通管理工程, 刑事科学技术等,学费为5500-5980元一年。 专业 科目批次 学制学

2025-08-15
查看详情
河南高考成绩多少分能报考四川警察学院?
查看详情
教育资讯

河南高考成绩多少分能报考四川警察学院?

一、河南高考成绩多少分能报考四川警察学院?1、文科四川警察学院2024年在河南文科(本科二批)的最低分是529分、最低位次是21553名。四川警察学院2023年在河南文科(本科二批)的最低分是545分、最低位次是25536名。四川警察学院2

2025-08-15
查看详情
河南高考成绩多少分能报考四川警察学院
查看详情
教育资讯

河南高考成绩多少分能报考四川警察学院

一、河南高考成绩多少分能报考四川警察学院?1、文科四川警察学院2024年在河南文科(本科二批)的最低分是529分、最低位次是21553名。四川警察学院2023年在河南文科(本科二批)的最低分是545分、最低位次是25536名。四川警察学院2

2025-09-17
查看详情
河南高考成绩多少分能报考四川警察学院
查看详情
大学排名

河南高考成绩多少分能报考四川警察学院

一、河南高考成绩多少分能报考四川警察学院?1、文科四川警察学院2024年在河南文科(本科二批)的最低分是529分、最低位次是21553名。四川警察学院2023年在河南文科(本科二批)的最低分是545分、最低位次是25536名。四川警察学院2

2025-09-16
查看详情
四川警察学院法学专业怎么样
查看详情
教育资讯

四川警察学院法学专业怎么样

四川警察学院法学专业挺好的,具有较高的知名度和学科实力,每年吸引着大量高考生选择报考法学专业。那么,近年来四川警察学院的法学专业的毕业生真实的就业满意度怎么样呢?跟小编一起来看看吧。四川警察学院法学专...

2025-08-27
查看详情
四川警察学院是985还是211
查看详情
教育资讯

四川警察学院是985还是211

四川警察学院不是985大学,也不是211大学。四川警察学院坐落于四川泸州市,是一所公办政法类普通本科院校。985大学是世界一流大学,211大学是国家重点大学,985和211大学都是中国高等教育领域的重要品牌,代表着国家在不同...

2025-08-27
查看详情
四川警察学院2025全国各省招生计划
查看详情
大学排名

四川警察学院2025全国各省招生计划

一、四川警察学院2025年全国省招生计划1、在四川各专业招生计划四川警察学院在四川招生人数共计人,招生专业有等,学费为5500-5980元一年。 专业 科目批次 学制学费 招生人数 学费 法学 历史类本科批B段

2025-09-16
查看详情
2024四川警察学院各省录取分数线是多少
查看详情
教育资讯

2024四川警察学院各省录取分数线是多少

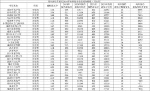
2024四川警察学院在云南最低录取分数线为518,最低位次是40177;2024四川警察学院在广西最低录取分数线为508,最低位次是45460;2024四川警察学院在湖北最低录取分数线为516,最低位次是68678。以下是小编整理的关于四川

2025-08-27
查看详情
四川警察学院2025全国各省招生计划
查看详情
教育资讯

四川警察学院2025全国各省招生计划

一、四川警察学院2025年全国省招生计划1、在四川各专业招生计划四川警察学院在四川招生人数共计1115人,招生专业有法学, 法学, 网络安全与执法, 交通管理工程, 刑事科学技术等,学费为5500-5980元一年。 专业 科目批次

2025-09-17
查看详情
2024年北京电子科技学院和四川警察学院对比数据
查看详情
大学排名

2024年北京电子科技学院和四川警察学院对比数据

针对北京电子科技学院和四川警察学院哪个好这个问题,小编从北京电子科技学院和四川警察学院的15个维度整理了它们的数据,方便大家比对北京电子科技学院和四川警察学院的差异。这些维度包括学校所在省份、隶属部门、...

2025-08-31
查看详情

热门学校推荐

查看更多
北京工业大学

北京工业大学

北京工业大学于1996年进入国家“211工程”重点建设的百所大学行列,是市属高校中唯一的一所“211工程”重点建设大学。

了解详情
北京大学

北京大学

北京大学创办于1898年,是戊戌变法的产物,也是中华民族救亡图存、兴学图强的结果,初名京师大学堂,是中国近现代第一所国立...

了解详情
内蒙古大学

内蒙古大学

历史沿革内蒙古大学位于内蒙古自治区首府、历史文化名城呼和浩特市,距北京400余公里,是中华人民共和国成立后党和国家在边疆...

了解详情
大连海事大学

大连海事大学

大连海事大学坐落于辽宁省大连市,是一所历史悠久、特色鲜明的高等学府,是交通运输部直属的唯一高校,是国家首批“211工程”...

了解详情
哈尔滨工业大学

哈尔滨工业大学

哈工大隶属于工业和信息化部,学校住所地为黑龙江省哈尔滨市南岗区西大直街92号,同时在山东省威海市和广东省深圳市分别设有...

了解详情
长安大学

长安大学

长安大学直属国家教育部,是国家首批“211工程”重点建设大学、国家“985优势学科创新平台”建设高校、国家“双一流”建设高...

了解详情