快速搜索

快速找到您需要的学校信息,助力择校决策

关于 "河南大学分数线" 的搜索结果

2024年河南大学录取分数线:最低413分
查看详情
大学排名

2024年河南大学录取分数线:最低413分

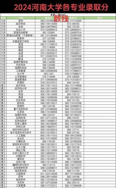
目前河南省考试院已经公布了河南大学2024年各个专业组的最低录取分数线,河南大学2024年在河南理科普通类最低录取分数线582分,最低位次37744。在河南文科普通类最低录取分数线570分,最低位次6767。以下是河南大学2024年完整...

2025-09-02
查看详情
2024年河南大学在云南录取分数线
查看详情
教育资讯

2024年河南大学在云南录取分数线

一、2024年河南大学在云南录取分数线及对应位次理科[普通类]:最低录取分数线555分,对应最低位次22520。理科[高收费专业]:最低录取分数线559分,对应最低位次20863。文科[普通类]:最低录取分数线572分,对应最低位次8221

2025-08-15
查看详情
2024年河南大学在河南全部专业录取位次、分数线
查看详情
教育资讯

2024年河南大学在河南全部专业录取位次、分数线

一、河南大学2024年在河南各专业录取分数线、位次 河南大学2024年在河南共招录58个专业以下是全部专业录取分数线及位次数据一览表。 专业(专业组) 科目(批次) 2024分数线 2024位次排名 旅游管理 文科(

2025-08-15
查看详情
河南大学2024年在河南录取分数线、对应位次
查看详情
教育资讯

河南大学2024年在河南录取分数线、对应位次

一、河南大学2024年在河南录取分数线及位次理科[普通类]:最低录取分数线582分,对应最低位次37744。理科[软件类]:最低录取分数线575分,对应最低位次44463。理科[医护类]:最低录取分数线541分,对应最低位次84991。理科

2025-08-15
查看详情
2025河南理工大学录取分数线是多少
查看详情
教育资讯

2025河南理工大学录取分数线是多少

2025河南理工大学各省录取分数线还未公布,小编以2024河南理工大学录取分数线为例,预测了2025年河南理工大学录取分数线:2024年河南理工大学在陕西的最低录取分数线为453分,预计2025年河南理工大学在北京的最低录取分数线...

2025-08-27
查看详情
河南大学2024年在四川各专业录取分数线
查看详情
教育资讯

河南大学2024年在四川各专业录取分数线

一、河南大学2024年在四川各专业录取分数线及位次2024年,河南大学在四川共招录25个专业,录取分数线分布529~577分之间。其中工商管理专业(文科)录取分数线最低为529分,电子信息科学与技术专业(理科)录取分数线最高为577分。...

2025-08-15
查看详情
河南大学2024年在湖南各专业录取分数线
查看详情
教育资讯

河南大学2024年在湖南各专业录取分数线

一、河南大学2024年在湖南各专业录取分数线及位次2024年,河南大学在湖南共招录39个专业,录取分数线分布477~582分之间。其中戏剧影视文学专业(历史类)录取分数线最低为477分,计算机类专业(物理类)录取分数线最高为582分。以...

2025-08-15
查看详情
河南大学2024年在广东各专业录取分数线
查看详情
教育资讯

河南大学2024年在广东各专业录取分数线

一、河南大学2024年在广东各专业录取分数线及位次2024年,河南大学在广东共招录35个专业,录取分数线分布531~578分之间。其中国际经济与贸易专业(历史类)录取分数线最低为531分,计算机类专业(物理类)录取分数线最高为578分。...

2025-08-15
查看详情
河南大学2024年在江苏各专业录取分数线
查看详情
教育资讯

河南大学2024年在江苏各专业录取分数线

一、河南大学2024年在江苏各专业录取分数线及位次2024年,河南大学在江苏共招录16个专业,录取分数线分布570~594分之间。其中工商管理专业(历史类)录取分数线最低为570分,电子信息科学与技术专业(物理类)录取分数线最高为594...

2025-08-15
查看详情
河南大学2024年在山东各专业录取分数线
查看详情
教育资讯

河南大学2024年在山东各专业录取分数线

一、河南大学2024年在山东各专业录取分数线及位次2024年,河南大学在山东共招录35个专业,录取分数线分布551~602分之间。其中土木工程专业(综合)录取分数线最低为551分,法学专业(综合)录取分数线最高为602分。以下是各专业详...

2025-08-15
查看详情
河南大学2024年在辽宁各专业录取分数线
查看详情
教育资讯

河南大学2024年在辽宁各专业录取分数线

一、河南大学2024年在辽宁各专业录取分数线及位次2024年,河南大学在辽宁共招录13个专业,录取分数线分布530~610分之间。其中土木工程专业(物理类)录取分数线最低为530分,计算机类专业(物理类)录取分数线最高为610分。以下是...

2025-08-15
查看详情
2024年河南大学在山东录取分数线
查看详情
教育资讯

2024年河南大学在山东录取分数线

一、2024年河南大学在山东录取分数线及对应位次综合[普通类]:最低录取分数线551分,对应最低位次73839。综合[中外合作办学]:最低录取分数线558分,对应最低位次63946。 科目(招生类型) 录取批次(专业组) 2024

2025-08-15
查看详情
河南大学在河南招生录取分数线(2022
查看详情
教育资讯

河南大学在河南招生录取分数线(2022

一、河南大学2022-2024年在河南录取最低分数线1、文科河南大学2024年在河南文科的最低分是570分、最低位次是6767名。河南大学2023年在河南文科的最低分是590分、最低位次是6734名。河南大学2022年在河南文科的最低分是5

2025-08-15
查看详情
河南大学2024年在贵州录取分数线、对应位次
查看详情
教育资讯

河南大学2024年在贵州录取分数线、对应位次

一、河南大学2024年在贵州录取分数线及位次物理类[普通类]:最低录取分数线529分,对应最低位次34571。历史类[普通类]:最低录取分数线567分,对应最低位次4710。 科目(招生类型) 录取批次(专业组) 2024分数线

2025-08-15
查看详情
2024河南科技职业大学在河南录取分数线
查看详情
教育资讯

2024河南科技职业大学在河南录取分数线

2024河南科技职业大学在河南专科批文科最低录取分数线为303分,最低位次为241204;本二批文科最低录取分数线为441分,最低位次为85422;专科批理科最低录取分数线为296分,最低位次为473469;本二批理科最低录取分数线为417

2025-08-27
查看详情
2024年河南大学在福建录取分数线
查看详情
教育资讯

2024年河南大学在福建录取分数线

一、2024年河南大学在福建录取分数线及对应位次物理类[普通类-专业组(2674(W900))]:最低录取分数线589分,对应最低位次20468。物理类[普通类-专业组(2674(W500))]:最低录取分数线588分,对应最低位次2090

2025-08-15
查看详情
2024年河南大学在安徽录取分数线
查看详情
教育资讯

2024年河南大学在安徽录取分数线

一、2024年河南大学在安徽录取分数线及对应位次物理类[普通类-专业组(1567(W004))]:最低录取分数线594分,对应最低位次29288。物理类[普通类-专业组(1567(W003))]:最低录取分数线592分,对应最低位次3019

2025-08-15
查看详情
2024年河南大学在广西录取分数线
查看详情
教育资讯

2024年河南大学在广西录取分数线

一、2024年河南大学在广西录取分数线及对应位次物理类[普通类-专业组(113)]:最低录取分数线567分,对应最低位次18243。物理类[普通类-专业组(115)]:最低录取分数线556分,对应最低位次23095。物理类[普通类-专业组(

2025-08-15
查看详情
2024年河南大学在广东录取分数线
查看详情
教育资讯

2024年河南大学在广东录取分数线

一、2024年河南大学在广东录取分数线及对应位次物理类[普通类-专业组(212)]:最低录取分数线578分,对应最低位次39447。物理类[普通类-专业组(210)]:最低录取分数线558分,对应最低位次60587。物理类[普通类-专业组(

2025-08-15
查看详情
河南大学2024年在河北录取分数线、对应位次
查看详情
教育资讯

河南大学2024年在河北录取分数线、对应位次

一、河南大学2024年在河北录取分数线及位次物理类[普通类]:最低录取分数线550分,对应最低位次56080。历史类[普通类]:最低录取分数线582分,对应最低位次7518。历史类[中外合作办学]:最低录取分数线579分,对应最低位次814

2025-08-15
查看详情

热门学校推荐

查看更多
北京工业大学

北京工业大学

北京工业大学于1996年进入国家“211工程”重点建设的百所大学行列,是市属高校中唯一的一所“211工程”重点建设大学。

了解详情
北京大学

北京大学

北京大学创办于1898年,是戊戌变法的产物,也是中华民族救亡图存、兴学图强的结果,初名京师大学堂,是中国近现代第一所国立...

了解详情
内蒙古大学

内蒙古大学

历史沿革内蒙古大学位于内蒙古自治区首府、历史文化名城呼和浩特市,距北京400余公里,是中华人民共和国成立后党和国家在边疆...

了解详情
大连海事大学

大连海事大学

大连海事大学坐落于辽宁省大连市,是一所历史悠久、特色鲜明的高等学府,是交通运输部直属的唯一高校,是国家首批“211工程”...

了解详情
哈尔滨工业大学

哈尔滨工业大学

哈工大隶属于工业和信息化部,学校住所地为黑龙江省哈尔滨市南岗区西大直街92号,同时在山东省威海市和广东省深圳市分别设有...

了解详情
长安大学

长安大学

长安大学直属国家教育部,是国家首批“211工程”重点建设大学、国家“985优势学科创新平台”建设高校、国家“双一流”建设高...

了解详情